機載小功率行波管高壓直流電源設計
機載小功率行波管高壓直流電源設計
1 引言
在雷達系統中,發射機作為重要的組成部分,主要完成信號的放大輸出。行波管具有頻帶寬、輸出功率大等特點,被廣泛應用在雷達系統中,是發射機的核心部件。行波管電源是行波管的能量來源,電源的性能對發射機輸出信號的質量以及整個發射機的重量、體積、功耗、可靠性等起著重要的作用。
2 電源系統的組成
行波管的工作電源主要包括:螺旋線電源、收集極電源、燈絲電源、正偏電源、負偏電源等,其中高壓電源為螺旋線、收集極電源。本設計中,行波管高壓電源需求如表1 所示,所有電源電壓均指對陰極電壓。
由于發射機應用于機載工作環境,為確保行波管電源很好地適應這種工作環境并穩定可靠地工作,遵循以下幾點設計思路。
1 ) 利用變壓器漏感參與諧振,從而減小甚無需外加諧振電感,減小高壓電源體積、重量。
2 ) 主功率開關管工作于軟開關狀態,從減小開關損耗和提高效率,提升高壓電源的可靠性。
3 ) 盡可能降低高壓變壓器變比,從而減小布電容,以減輕由于分布電容帶來的不利影響。
本設計的行波管高壓電源框圖如圖1 所示。
3 具體電源設計
3 . 1 預穩電源設計
由于載機供電電源的范圍為25V?32V,輸入電壓低,而高壓電源輸出為14k V 的電壓,其高頻變壓器的變比太高,導致分布電容很大,波形失真嚴重,使高壓電源的工作穩定性(可靠性)和效率降低。因此,中電華星的工程師一般會在飛機的供電輸出和高壓電源的供電輸入之間增加一級預穩電源。
預穩壓電源采用模塊化的DC/DC變換器作為核心器件,外圍采取共模、差模濾波電路以及監控電路來構成,中電華星一般會采用Vicor等高可靠的模塊電源品牌。選擇模塊化的DC/DC變換器有明顯的優點:第一,成熟的模塊化電源,內部器件高度集成,電路成熟,具有體積小,可靠性高等優點;第二,DC/DC電源變換器具有隔離保護功能,使負載和飛機配電母線隔離,當負載出現過載和短路的時候,DC/DC電源變換器可以實施過流保護或短路保護;第三,當飛機供電母線電壓發生較大變化時,可以將輸入電壓調整至用電設備使用電壓的穩定值。
根據行波管給定的參數中,可計算得高壓電源的輸出功率
高壓直流電源的效率按8 5 % 計算,則輸入功率為
考慮一定的余量,預穩電源的輸出功率按100W 設計。
選用2 只中電華星提供的VICOR電源模塊VI-2WBMX串聯,以達到提高輸出電壓的目的。VI-2WBMX模塊的輸入電壓為18VDC?36VDC,輸出電壓為95VDC,輸出功率75W,故預穩電源的輸出電壓為190V,功率為150W。
3 .2 高壓直流電源設計
3. 2. 1 高壓電源拓撲的選擇
串聯諧振變換器有下列優點:串聯電容隔斷直流分量,避免高頻變壓器飽和,適合設計成全橋拓撲電路;開關器件的電流隨負載的降低而減小,因而輕負載下效率高。缺點:輸出直流濾波電容必須承受大的脈動電流,因此只適合局壓小電流輸出。為了降低高壓變壓器的變比,從而降低分布參數,高壓變壓器輸出分成三個繞組,經倍壓整流串聯后給行波管提供螺旋線電壓和收集極電壓。
串聯諧振拓撲圖如圖2 所示
其中,電感Lr和電容Cr組成諧振網絡,開關管S1 和S4、S2 和S3 分別同時開通和關斷,S1 和S4與S2 和S3 為180°互補導通。
3. 2. 2 全橋串聯諧振模式選擇
串聯諧振根據開關頻率fs和諧振頻率fr比較有三種不同的工作模式:
1) fs≤ fr/2 時,為電流斷續模式。開關器件工作在軟開關狀態,開通關斷均可實現零電流。
2) fs≤fr/2≤fr時,為電流連續模式。開關器件關斷時電流為零,開通時電流較大。
3) fs≥fr時,為電流連續模式。開關器件開通時電流為零,關斷時電流較大。
三種模式的電流波形分別如圖3 所示。
因此,采用電流斷續工作模式,開關管均工作在軟開關狀態,開通關斷均實現低損耗。
3. 2. 3 高壓電源主要參數計算
由于變壓器次級高壓整流硅堆反向恢復時間的限制,諧振頻率fr取100KHz,因此開關頻率fs= 0. 5fr = 50KHz,變換比 M= Vo/VB= 0. 9 ,電源效率η=0. 85,輸入電壓VIN= 190V。

其中:Z0為諧振阻抗,R'為負載等效電阻,POUT為輸出功率;η為效率;Vin為預穩電源輸出電壓;fr為諧振頻率。
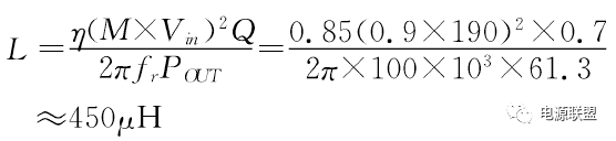
計算諧振電感:
諧振電容:
考慮到變壓器分布電容的影響,適當加大諧振電谷,取 C= 0. 01μF ,則 L≈254μH。
特征阻抗:
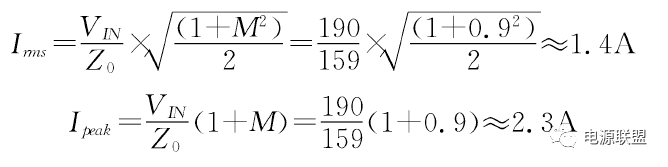
諧振回路有效值及峰值電流:
變壓器變比:
高壓直流電源采用次級串聯供電模式,對總電壓(螺旋線電壓)進行采樣閉環,次極采用三繞組分開繞制,其中一組全橋整流輸出電壓為4. 3KV,為收集極供電,變比:N1= V1/Vp= 4. 3KV/(190 X 0?8)≈29;另外兩個繞組經二倍壓整流后串聯輸出,提供收集極對地電壓。變比:N2=N3= (14-4.3)KV/(2X2 X 190X0. 8)≈16。
高壓儲能電容計算:
行波管最大工作比10% ,最大脈寬為100μS,收集極脈內頂降小于50V ,螺旋線脈內頂降小于100V ,因此:
高壓直流電源電路簡圖如圖4 所示。
3. 3 實驗及結果
基于以上的設計步驟,研制一臺行波管高壓電源,輸人直流電壓Vin= 28V ,輸出電壓Vk = -14KV,Vc = -4. 3kV,輸出功率 POUT= 65W,變換器工作頻率fs=50kHZ。
4 結語
本文介紹了雷達直流電源工程師開發設計的一款機載行波管高壓電源,該電源采用兩級電壓變換,高壓變換部分采用零電流全橋串聯諧振拓撲。該行波管電源具有體積小、重量輕、可靠性高等特點,目前已完成試飛試驗,滿足各項指標要求。據了解,該款高壓電源還被應用在機載、
- 上一篇:開關直流電源的“輻射”干擾怎么預防?怎么抑制? 2017/5/17
- 下一篇:開關直流電源中各類電容的選擇經驗 2017/5/17
