無絕緣高溫超導線圈的充電機充放電和失超特性研究
1論文背景
高溫超導線圈是大部分高溫超導設備的核心部件。失超保護一直是困擾二代高溫超導線圈技術發展的關鍵問題之一。當線圈因為過流或者局部過熱而失超時,超導帶材的電阻會迅速升高,產生大量的熱,并向周圍區域傳播,嚴重時會直接燒毀帶材。為了防止匝間短路,傳統的高溫超導線圈外包絕緣層的超導帶材或線材繞制而成,屬于絕緣線圈。最近的研究表明高溫超導線圈也可采用無絕緣方式纏繞,尤其是基于ReBCO的第二代高溫超導帶材,因為其具有多層結構,超導層被金屬基帶和保護層包覆著。這些金屬材料雖為導體,但其電阻率比與處于超導態的超導層高出很多個數量級,因此在線圈穩定載流時,充電機充電電流將全部在超導層中流動,在這種狀態下,金屬層相當于是超導層的匝間“絕緣”材料。當發生失超時,超導層的電阻會迅速升高,甚至超過金屬層。此時部分充電機充電電流會通過匝間的接觸自動分流,繞過失超區域。這會有效地減少失超區域超導帶材的載流量,大幅降低其產生的熱量,從而有效地抑制失超的進一步發展。因此,相比于傳統絕緣線圈,無絕緣超導線圈具有更高的電熱穩定性、更好的自我保護能力,成為當前國際高溫超導應用研究的一個熱點。
由于沒有匝間絕緣,無絕緣高溫超導線圈的充電機充放電和失超特性與傳統絕緣線圈有很大區別。在充電機充電電流、溫度或磁場發生變化的時候,線圈中各匝中的充電機充電電流將暫時失衡,增加或減少的充電機充電電流將在超導層、金屬基帶和保護層中分流,在經歷過一段暫態過程后將再度達到平衡狀態。這個電、磁、熱暫態過程會對無絕緣高溫超導線圈的充電機充放電方式、失超特性和保護方式等產生顯著的影響。此前的學者大都通過實驗和仿真的方法從整體上對無絕緣高溫超導線圈的電壓、充電機充電電流和磁場特性進行研究。對于無絕緣高溫超導線圈充電機充放電和失超過程中內部的充電機充電電流和溫度變化鮮有了解,特別是結合電、磁、熱多物理場耦合的動態特性方面的理論研究很少,使得無絕緣高溫超導線圈技術走向工程應用缺乏理論上的指引,這既是本課題將解決的問題。
2論文所解決的問題及意義
本文將綜合使用理論計算和實驗測量的方法展開基于第二代高溫超導帶材的無絕緣線圈充電機充放電特性和失超傳播特性的研究。論文使用等效電路網絡和有限元的方法搭建耦合了電、磁、熱的多物理場仿真模型,對暫態過程中無絕緣線圈內部的充電機充電電流、溫度和磁場變化進行分析。論文對無絕緣線圈充電機充放電過程進行了實驗測量,比較了不同類型無絕緣高溫超導線圈的不同,并將實驗結果和仿真分析進行對比,驗證了仿真模型的有效性。在以上研究的基礎上,本文應用搭建的仿真模型對高溫超導線圈在充電機充放電過程中的充電機充電電流分布、線圈電壓、感應磁場、損耗特性、勵磁時間、屏蔽充電機充電電流等進行了詳細的研究,并對其失超傳播特性進行了深入分析、揭示了其自我保護特性的內在機理,討論了失超檢測的可能方法。
3論文重點內容
3.1 無絕緣高溫超導線圈的模型開發和實驗驗證
無絕緣高溫超導線圈在穩定直流充電機的超導狀態下與傳統的絕緣超導線圈沒有差別,其充電機充電電流都在超導層中。但在電磁暫態過程(充電機充放電)中,部分充電機充電電流會在電感的作用下沿匝間流動;在失超區域,帶材電阻的升高也會產生匝間分流現象。這形成了無絕緣高溫超導線圈獨特的電磁熱動態特性。由于充電機充電電流可以在無絕緣線圈內部沿任意方向流動,很難用實驗的方法對其內部的充電機充電電流分布進行測量,本課題從建模仿真的角度對此進行研究。二代高溫超導帶材REBCO極高的縱寬比使得傳統的有限元方法建模極為困難。本文針對無絕緣高溫超導線圈搭建了分布參數的等效電路網絡模型。如下圖所示,以有Nt匝的單餅線圈為例,將每一匝均分為ne單元。每個單元等效為電感Mk、切向電阻Rs,k和徑向電阻Rr,k等電路參數;相應的,每個單元上的充電機充電電流也被分解為沿線圈環路流動的切向充電機充電電流ik和沿匝間接觸流動的徑向充電機充電電流jk。每個單元的電感Mk包含該單元自感Mk,k和它與其他所有單元的互感Mk,m(k≠m)。
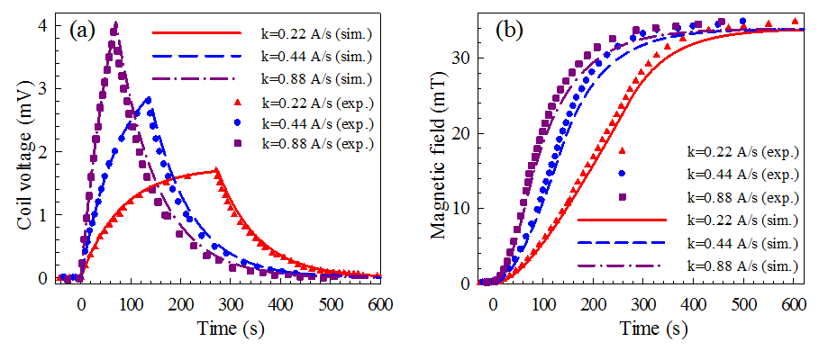
實驗測量了無絕緣高溫超導線圈的中心磁場和端部電壓,以對模型進行驗證。仿真和實驗對比如下圖2所示。
圖1 無絕緣高溫超導線圈的等效電路模型示意圖
圖2 無絕緣高溫超導線圈充電機充電過程的仿真和實驗對比
3.2 無絕緣高溫超導線圈充電機充放電過程的內部的充電機充電電流分布
充電機充電過程中無絕緣高溫超導線圈內部的充電機充電電流分布如下圖3所示。在瞬態過程中,超導線圈的電感效應在超導帶材上產生了電壓,這促使部分充電機充電電流沿徑向流動。充電機充電電流在注入線圈后逐漸向徑向分流,導致其切向分量沿角度方向逐漸減小,同時徑向分量逐漸增加。除了線圈內外側充電機充電電流引線附近的區域,線圈內部絕大部分匝的徑向充電機充電電流沿角度方向近似均勻分布。而圓形線圈內部沿角度方向均勻分布的充電機充電電流,呈現中心對稱的分布特性,其感應產生的磁場相互抵消,總體上沒有磁場效應,因此線圈中心的磁場主要是由切向充電機充電電流產生的。由于線圈上大部分區域的切向充電機充電電流嚴重滯后于電源充電機充電電流,而徑向分流又不產生宏觀磁場效應,無絕緣線圈感應產生的中心磁場也相應地表現出滯后現象,這在宏觀上表現為無絕緣高溫超導線圈的充電機充電延遲現象。
圖4所示為多個相同的無絕緣線圈串聯充電機充電時內部的充電機充電電流分布。由圖可知,不同位置線圈的充電機充電過程是不同步的,端部線圈(SPC 14)的切向充電機充電電流最高,而中間位置線圈(SPC 8)的切向充電機充電電流最低,即端部線圈的充電機充電過程要快于其他線圈,中間位置的線圈的充電機充電延遲效應最為嚴重。同時,徑向充電機充電電流呈現相反的分布,中間位置線圈(SPC 8)的徑向充電機充電電流明顯高于其他線圈。
圖3 充電機充電過程中無絕緣高溫超導線圈內部的充電機充電電流分布(充電機充電速率0.44 A/s, t=68 s)
(a) 整個線圈切向充電機充電電流的分布;(b) 整個線圈徑向充電機充電電流密度的分布;
圖4 多個無絕緣線圈串聯充電機充電過程徑向平均充電機充電電流iturn和切向平均充電機充電電流jturn在各匝的分布(t=100 s, rate=1 A/s)
3.3 無絕緣高溫超導線圈的充電機充電延遲
在工程應用中,通常需要將超導線圈或磁體勵磁到某目標磁場,如MRI、NMR、加速器磁體和超導直流充電機感應加熱器等。此過程所須的時間和產生的線圈電壓是重要的參數指標。本文以上的研究表明無絕緣高溫超導線圈的充電機充電特性與傳統的絕緣超導線圈有明顯的不同,因此有必要對其進行詳細的研究。
下圖5所示為實驗測得無絕緣高溫超導線圈充電機充電過程中電源充電機充電電流、線圈中心磁場和線圈電壓的變化趨勢,這也是無絕緣高溫超導線圈的典型的充電機充電特性。從圖中可以看出整個充電機充電過程分為兩個階段:第一階段為升流階段,電源充電機充電電流線性上升到目標值( 60 A),此過程中線圈中心磁場的變化明顯滯后于電源充電機充電電流,本階段結束時線圈磁場僅達到目標值得56 %;第二階段為“等待過程”,電源充電機充電電流保持在目標值(60 A)直至線圈感應磁場達到目標值,同時線圈電壓下降到零,整個線圈達到穩定狀態。
研究發現,提高充電機充電速率能夠在一定程度上加快無絕緣超導線圈的充電機充電進程,當充電機充電速率增大到一定程度后,無絕緣線圈的充電機充電時間會趨近于一最小值,該“最小充電機充電時間”與充電機充電速率無關,是無絕緣線圈的固有特性之一。如圖6所示,從勵磁的角度,高溫超導無緣線圈所需的充電機充電時間會隨著線圈內徑和匝數的增大而急劇增加,對于大口徑的高溫超導無緣線圈和磁體來說,其充電機充電時間可能會因為太長而給工程應用帶來很大挑戰。增加匝間等效電阻率能夠有效加速無絕緣高溫超導線圈的勵磁過程,因此大型超導磁體更適合使用具有高匝間電阻率的無絕緣超導線圈。由于徑向分流,高溫超導無絕緣線圈的充電機充電電壓往往低于同等的絕緣線圈,從而降低了對電源電壓的要求。
圖5 無絕緣高溫超導線圈的典型充電機充電特性及其“工程充電機充電時間”的定義
圖6 無絕緣高溫超導線圈最小充電機充電時間(MCT)隨線圈內徑和匝間電阻的變化
3.4 無絕緣高溫超導線圈的充電機充電損耗
超導線圈在充電機充電過程中產生的損耗,被稱為充電機充電損耗。對于傳統的絕緣超導線圈來說,磁滯損耗是充電機充電損耗的主要部分,是造成低溫超導絕緣磁體充電機充電過程失超的主要原因之一,是應用超導領域研究的重要內容。無絕緣高溫超導線圈的充電機充電損耗與絕緣超導線圈有很大的不同,除了上述超導體上的磁滯損耗外,還有徑向充電機充電電流在匝間電阻上產生的損耗,本文將其稱為“匝間損耗”。
研究發現無絕緣高溫超導線圈的充電機充電損耗遠大于同等的絕緣超導線圈,前者比后者高一個數量級,如下圖7所示。因此,在充電機充電操作中無絕緣線圈比同等的絕緣線圈有更高的失超風險。無絕緣高溫超導線圈的充電機充電損耗以匝間損耗為主,匝間損耗比磁滯損耗高一個數量級。降低充電機充電速率和增大匝間等效電阻率能夠有效地降低無絕緣高溫超導線圈的充電機充電損耗。無絕緣高溫超導線圈充電機充電過程中可能產生的最大匝間損耗等于該線圈所存儲能量。在多個無絕緣高溫超導線圈組成的磁體中,中間位置線圈,特別是其外側附近的匝在充電機充放電過程中匝間損耗最高,這是受充電機充電電流分布的影響。受磁場分布的影響,磁體端部線圈的磁滯損耗遠高于其他位置線圈。匝間損耗遠和磁滯損耗,其在不同位置線圈的不均勻分布,會產生不均勻的溫升。通過改變不同位置線圈的匝間電阻率,能夠有效改變充電機充電損耗特別是匝間損耗分布的均勻性,如下圖8所示。
圖7 單個無絕緣高溫超導線圈充電機充電過程中的匝間損耗和磁化損耗
圖8 匝間電阻率對匝間損耗分布的影響。
3.5 無絕緣高溫超導線圈的失超特性
如下圖9,當線圈內部產生局部失超時,失超點所在整匝的切向充電機充電電流都會被重新分配,而不僅僅局限于失超區域附近的切向充電機充電電流。被“擠出”的切向充電機充電電流通過匝間接觸會以徑向充電機充電電流的形式被重新分配到臨近的匝,導致這些匝過充電機充電電流。當局部失超區域擴張到所有的匝,將整個線圈“切斷”時,線圈大部分的通流會通過匝與匝之間的接觸直接從輸入端的充電機充電電流引線到輸出端的充電機充電電流引線。這種充電機充電電流的“擠出”效應有效地降低了失超點的發熱功率,抑制了失超的可持續發展,從而增強了線圈的熱穩定性,并促使線圈最終自我恢復到初始狀態。改變失超點和線圈充電機充電電流引線的位置,重復此失超過程,發現了類似的特性和規律,說明這是無絕緣高溫超導線圈的一般特性。在此局部失超的過程,無絕緣高溫超導線圈的中心磁場和線圈電壓發生了顯著的改變,有望通過對線圈電壓和中心磁場的測量來對無絕緣高溫超導線圈的局部失超進行檢測和診斷。
圖9 無絕緣高溫超導線圈局部失超過程中充電機充電電流和溫度的分布與變化
注:為示意清晰,圖中每匝帶材厚度被放大了30倍
4論文主要創新點
1)論文首次搭建了針對無絕緣高溫超導線圈的分布參數等效電路網絡模型,并進行了實驗驗證。基于此模型,論文首次對無絕緣高溫超導線圈充電機充放電過程內部的充電機充電電流分布進行了仿真分析。揭示了無絕緣線圈充電機充電延遲效應的內在機理,首次發現了無絕緣超導線圈的“最小充電機充電時間”,并分析了充電機充電速率、線圈尺寸和匝間等效電阻率等因素的影響。
2)論文首次對無絕緣高溫超導線圈充電機充放電過程的匝間損耗和磁滯進行了系統分析。論文將等效電路網絡模型和基于H方程的有限元模型相結合,發現無絕緣線圈的總的充電機充電損耗比傳統絕緣超導線圈高一個數量級以上。
3)論文首次對多個無絕緣高溫超導線圈組成磁體的充電機充放電特性進行了分析。首次發現了多個無絕緣超導線圈串聯充電機充放電時不同位置線圈的不同步性,以及充電機充電損耗在不同位置線圈的不均勻分布。論文首次研究了多個無絕緣超導線圈放電操作中的屏蔽充電機充電電流和剩余磁場。
4)論文首次大家了針對無絕緣高溫超導線圈的失超模型。對其局部失超傳播過程進行了仿真分析,首次發現失超熱點對載流的“擠出”效應不只發生在失超區域附近,而是失超點所在匝的所有單元,從而有效抑制了失超的持續發展。這個仿真結果首次為多個實驗中得到的無絕緣線圈自我保護能力超強的結論提供了理論支持。研究還發現無絕緣線圈的中心磁場和線圈電壓會在局部失超的早期發生顯著變化,這為無絕緣高溫超導磁體的失超保護提供了新的思路。
- 上一篇:【DIY】自己設計制作連續可調直流穩壓電源的步驟過程分享 2017/7/30
- 下一篇:直流穩壓電源技術設計40條原則 2017/7/29
