基于L6562A的APFC直流電源設計
1、前言
傳統AC/直流電源DC采用橋式整流器和大容量濾波電容器組成的電容輸入型直流電源電路設計,其PF值較低,一般為0.55~0.65
2、臨界電流模式的APFC直流電源原理
PFC直流電源分類:
●無源功率因數校正法(PPFC)
●有源功率因數校正法(APFC)
Boost直流電源電路設計以其特有的優點被廣泛地應用于APFC變換器
目前,市場上有許多芯片應用于APFC直流電源,根據電感電流是否連續,分為兩種
●連續導通模式(CCM )
●臨界或過渡導通模式(TCM)
L6562A是ST公司PFC產品系列的最新器件之一,它是在L6561和L6562基礎上進一步改善開發的,主要是應用于TCM的功率因數校正直流電源電路設計。
L6562A主要特點有:
●乘法器內置THD優化直流電源電路設計,以減小過零點失真,降低THD值(這是L6561所不具備的);
●極低啟動電流(典型值:30uA;保證60uA以下),可降低芯片功耗;
●內部參考電壓于25℃時誤差率在1﹪以內;
●除能(Disable)功能,當誤差放大器輸入低于0.2V,系統將關閉,降低損耗;
●精確可調的外部過電壓保護;
●內部啟動及零電流偵測(ZCD)功能;
●在電流檢測輸入端內置領先的數字RC濾波器,過零頻率附近的高頻區域仍然可以工作,因此降低了總的諧振失真度;
●800mA的圖騰級輸出,可用于直接驅動Power MOSFET。
這些特點比L6561和L6562都有較好的改善
L6562A是采用變頻的PFC控制芯片,使Boost直流電源電路設計升壓電感工作在臨界電流模式。
下面推導其功率因數校正的原理。
3、基于L6562A的APFC直流電源設計
采用基于L6562A的Boost APFC直流電源電路設計,設計一臺75W的樣機Ui=176-265Vac、Uo=400V
電感設計:
●本直流電源電路設計工作于變頻控制方式,設計電感時,要按最低開關頻率考慮最低開關頻率要大于內部啟動器的最大頻率,以確保直流電源電路設計工作于正確的TCM操作
●L6562A芯片的最小工作頻率建議大于14kHz,以不干擾內部啟動器(內部最小重啟時間為75us)確保芯片在臨界電流模式工作,本設計最小開關頻率選為25kHz
●開關頻率最小值發生在輸入電壓幅值時(θ=90°)最大值發生在輸入電壓過零時(θ=0°)
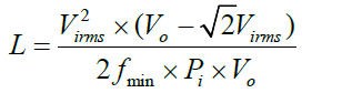
下面推導電感L與fmin的關系:
根據式
當輸入電壓變化時,開關的最小頻率也在變化由圖可知fmin可能出現在最小或者最大Virms下
根據式
即可確定電感值L
依據下式的AP值即可設計電感器
其中Iirms=Pi/Virms
J為線圈電流密度
Bm為磁心最大工作磁密
Ku為線圈窗口填充系數
Ku為線圈窗口填充系數
4、結論
通過實驗結果分析表明基于L6562A 的臨界連續模式的有源功率因數校正直流電源電路設計具有:
●結構簡單、體積小、工作穩定可靠
●PF值高、THD值低
●適用于小功率APFC 直流電源電路設計應用
- 上一篇:印刷直流電源電路板的技術發展及制造工藝探密 2017/6/5
- 下一篇:大型光伏電站匯集系統的故障特性及其線路保護 2017/6/5
